济南大力神机械制造有限公司
Open Menu
首页
关于我们
返回上一级
公司简介
公司文化
公司荣誉
企业风采
产品中心
返回上一级
剪叉式升降机
导轨式升降机
铝合金式升降机
套缸式升降机
曲臂式高空作业车
直臂式高空作业车
登车桥
物流拖车
立体车库
成功案例
返回上一级
国内客户
国外客户
新闻中心
返回上一级
公司新闻
行业新闻
常见问题
技术实力
返回上一级
售后支持
服务理念
服务团队
联系我们
返回上一级
联系方式
客户留言
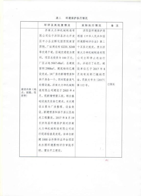
济南大力神机械制造有限公司建设项目竣工环境保护验收申请
点击量:549次
升降货梯、简易货梯、车间货梯、汽车电梯安装使用
安装固定式升降平台的要点
©2006-2016 济南大力神机械制造有限公司 版权所有
关于我们
产品展示